近日,秀人网
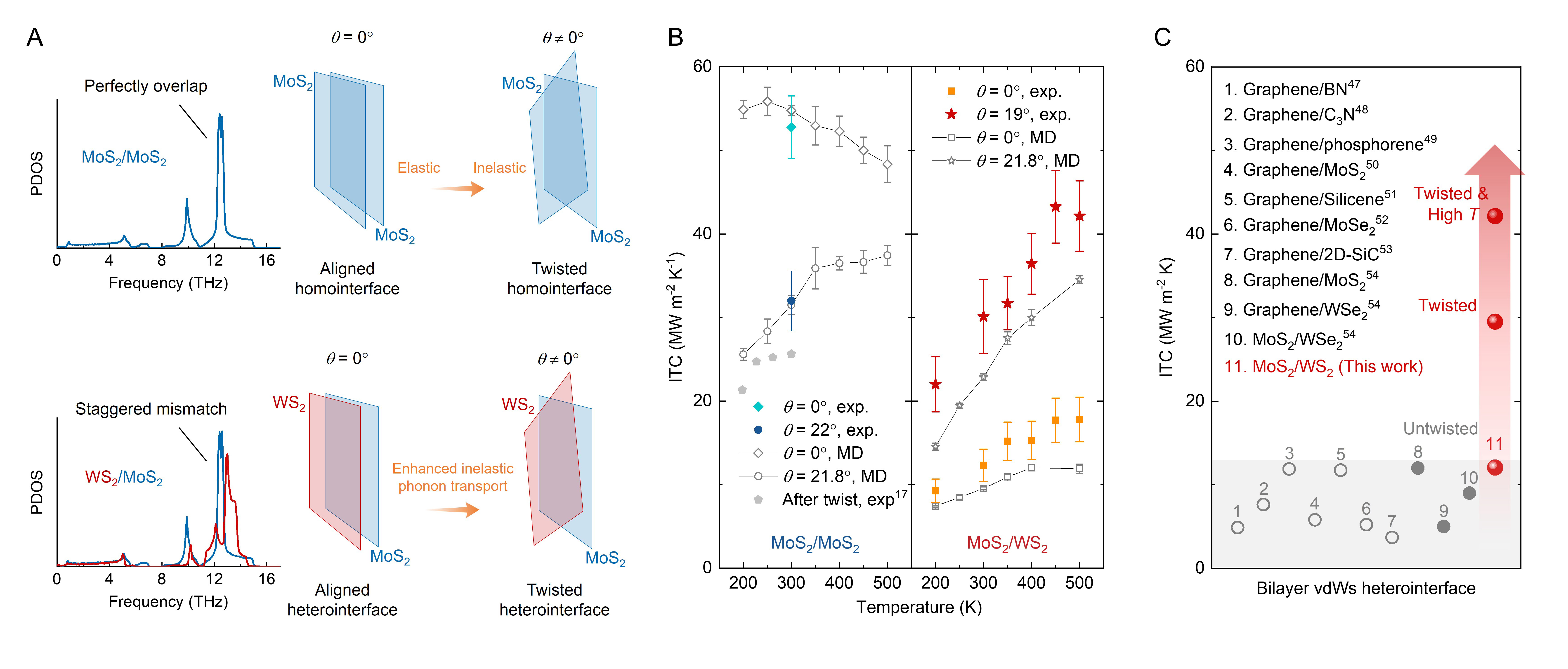
张兴教授、马维刚教授团队在二维范德华异质结界面热输运研究领域取得重要突破。在后摩尔时代的电子器件中,范德华异质结因其可设计的能带结构和优异电学特性而成为新型集成电路的重要候选。然而,不同材料之间的声子失配导致界面热导普遍较低(通常约10MW m-2K-1量级),严重制约器件的散热性能和可靠性。长期以来,国内外研究人员普遍认为,在同质结构中引入层间转角会破坏晶格的对称性,增强无序散射,从而降低界面热导。基于这一共识,“扭转”通常被视为抑制热输运的因素。
研究团队通过构建具有不同扭转角的MoS2/WS2双层异质结构,在转角异质界面体系中观察到了反常的导热增强现象。研究发现当转角从0°增加至38°时,界面热导由12.1±1.6 MW m-2K-1提升至30.2±4.3MWm-2K-1,实现约2.5倍的大幅增强,该结果打破了长期以来“扭转削弱界面导热”的传统认知,为新一代芯片热管理提供了新思路。
基于开发的大面积普适转移方法,研究团队实现了MoS2/WS2双层异质结构的制备,避免了传统湿法转移过程中水汽夹杂与界面起皱问题,有效提升了界面平整度和晶体完整性。通过控制两片单晶三角形的相对取向,可精确获得0°-60°范围内不同层间扭转角的异质双层结构。多尺度结构表征结果共同验证,研究团队所制备的MoS2/WS2扭转异质双层具有高质量原子级洁净界面与可控扭转角,为界面热输运机制研究提供了可靠的材料基础。

图1.不同转角异质双层MoS2/WS2结构的制备与表征
针对二维材料界面热导的空间非均匀性难题,研究团队开发了高通量时域热反射(TDTR)Mapping技术,实现了界面热阻的空间统计测量,并结合人工神经网络算法,显著提升了数据处理效率。该方法将传统点测量扩展为二维分布成像,使界面热导的角度依赖测量结果更加准确和可靠。

图2.TDTR Mapping技术及界面热导随转角的实验测量结果
进一步的模态温度分解与频谱热流分析揭示,在MoS2/WS2异质界面中,热输运本质上由非弹性声子散射主导。扭转角的引入重构了界面处的非平衡声子温度分布,使高频光学声子能够通过频率下转换有效激发对侧的声学声子,从而打开更多跨界面传热通道。研究表明,在未扭转界面中,非弹性散射已占总热导的55%;而在21.8°转角下,其贡献提高至70%,且非弹性部分的提升幅度远高于弹性部分。这一发现揭示了界面导热异常增强的内在机理,并进一步统一了扭转对同质与异质界面导热行为的调控规律:扭转均会增强界面非弹性声子散射,但在同质界面中热输运以弹性散射为主,非弹性增强反而引入额外热阻;而在异质界面中原本即由非弹性散射主导,扭转进一步放大该机制,从而导致了界面热导的提升。

图3.扭转增强异质界面导热的机理分析
更为重要的是,该研究构建了界面热导的“微扰增强理论”:在以非弹性散射为主导的异质界面中,引入界面微扰(如扭转、滑移或波纹调制)可重构界面声子能量分布,激活更多跨界面传热通道,从而实现界面热导的可控提升。该理论为二维材料体系的界面热调控提供了全新的物理图像,为高功率密度芯片的热管理开辟了新的技术路径,也为新一代高集成度电子器件的热优化设计奠定了理论基础。

图4.扭转对同质和异质界面导热的对比
研究成果以“扭转范德华异质界面导热的反常增强”(Anomalous enhancement of thermal conduction across twisted van der Waals heterointerfaces)为题,于2月26日发表于《美国科学院院刊》(Proceedings of the National Academy of Sciences of the United States of America, PNAS)。
秀人网
博士后张宇峰和2019级博士生杜彦征为论文共同第一作者,秀人网
教授张兴、马维刚为论文通讯作者。秀人网
博士后万骁和安盟(现为北京理工大学研究员)等为论文作出了重要贡献。
研究得到国家自然科学基金、中国博士后科学基金及秀人网
“水木学者”计划等的支持。
论文链接:
//www.pnas.org/doi/10.1073/pnas.2531049123